管理服务

新闻中心

当前位置: 首页 > 管理服务 > 新闻中心 > 正文

西安交大杨森教授团队开发出应用于光电子学的可控相变硫族钙钛矿薄膜材料

来源:      发布时间 : 2023-11-10     点击量:

硫族钙钛矿(Chalcogenide Perovskites)材料由于其多种引人注目的特性,包括可调控的带隙宽度、较高的吸收系数、合理的载流子寿命和迁移率、出色的化学稳定性以及环保等优异的特性,已经在材料应用方面开始崭露头角,成为一种发展潜力很高的半导体材料。然而,除了广泛研究的BaZrS3薄膜之外,关于具有多种组成的硫族钙钛矿薄膜及其他相结构薄膜的研究报告相对较少。

针对这一问题,西安交通大学物理学院研究人员与纽约州立大学研究人员合作,在深入理论研究硫族钙钛矿材料相稳定性的指导下,通过脉冲激光沉积系统制备出四种不同类型的硫族钙钛矿薄膜材料,并且实现了SrZrS3和SrHfS3薄膜钙钛矿相和针状相的可控生长,为后续光电子器件应用的实现,提供了可能性。此外,科研人员也从分子动力学解释了这四种硫族钙钛矿薄膜材料在光致发光的半高宽(FWMH)从99meV到231meV显著差异的原因。这一研究的结果强调了硫族钙钛矿薄膜作为传统卤化物钙钛矿的潜在替代材料在光电应用领域的巨大潜力,也凸显出在优化其合成和性能方面所面临的挑战。这一突破将为未来的光电技术提供更多可能性,并有望推动半导体材料领域的进一步创新。

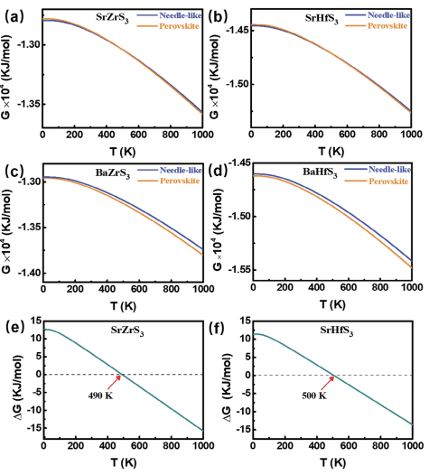
图1、计算得到针状(蓝色)和扭曲钙钛矿(橙色)相的吉布斯自由能与温度的关:(a)SrZrS3、(b)SrHfS3、(c)BaZrS3和(d)BaHfS3,两相之间的能量差(定义为ΔG=G(钙钛矿)−G(针状))与温度函数的关系:(e)SrZrS3和(f)SrHfS3

图2、不同温度硫化(a)SrHfS3和(b)SrZrS3薄膜的XRD图谱;正方形代表扭曲钙钛矿相和三角形代表针状相。

该工作以“Chalcogenide Perovskite Thin Films with Controlled Phases for Optoelectronics”为题发表在《先进功能材料》(Advanced Functional Materials)上,西安交通大学物理学院为第一通讯单位,文章第一作者是西安交通大学物理学院博士生于忠海,西安交通大学物理学院杨森教授以及纽约州立大学布法罗分校曾浩教授为论文通讯作者,该研究获得了国家自然科学基金和中央高校基本科研业务费的支持。

论文链接:https://doi.org/10.1002/adfm.202309514

关闭

版权所有:爱游戏(AYX)体育官方网站-AYX.COM
地址:陕西省西安市咸宁西路28号
邮编:710049

访问统计: